8511_om_not-searchable
/energi-og-industri/statistikker/pii/arkiv
8511_om
statistikk
2010-08-06T10:00:00.000Z
Energi og industri;Energi og industri;Nasjonalregnskap og konjunkturer
no
false

Produksjonsindeks for olje og gass, industri, bergverk og kraftforsyningjuni 2010

Innhald

Om statistikken

Omgrep

Namn og emne

Namn: Produksjonsindeks for olje og gass, industri, bergverk og kraftforsyning
Emne: Energi og industri

Neste publisering

Ansvarleg seksjon

Seksjon for næringslivets konjunkturer

Definisjon av dei viktigaste omgrepa og variablane

Langtidsindeks: Det er disse indeksene som publiseres. De er sammenlignbare over tid og det publiseres også endringstall for indeksene.

Den lokale enheten (virksomhet): Et foretak, eller del av et foretak, som ligger på et sted og som kan identifiseres geografisk. På eller fra dette stedet utøves det økonomisk aktivitet som, med visse unntak, sysselsetter en eller flere personer for et og samme foretak.

Foretak: Den minste kombinasjonen av juridiske enheter som utgjør en organisatorisk enhet som produserer varer eller tjenester, og som til en viss grad har selvstendig beslutningsmyndighet, særlig med hensyn til sine løpende ressurser. I de fleste tilfeller vil foretaket være identisk med den juridiske enhet, det vil for eksempel si et aksjeselskap.

NACE: (Nomenclature Générale des Activités economiques dans les Communautés Européenes") er Eurostats (EUs statistikkontor) næringsstandard. Denne er igjen basert på FNs internasjonale næringsstandard, ISIC Rev. 4 (International Standard of Industrial Classification of all Economic Activities).

Standard for næringsgruppering 2007 (SN2007) : Standarden er i første rekke en statistisk standard. Den danner grunnlag for koding av enheter etter viktigste aktivitet i Statistisk sentralbyrås virksomhets- og foretaksregister og for enheter i Enhetsregisteret. Den er en av de viktigste standardene i økonomisk statistikk og gjør det mulig å sammenlikne og analysere statistiske opplysninger både nasjonalt og internasjonalt og over tid. Næringsgruppering brukes også i administrative rutiner. Standarden er identisk med NACE, mens 5.siffer (næringsundergruppe) er et nasjonalt norsk nivå.

Bearbeidingsnivå: Det mest detaljerte nivå som statistikken utarbeides på.

Ujustert indeks/serie: er en indeks/serie med primærinformasjon (produksjon) som mottas fra oppgavegiver.

Kalenderjustert indeks/serie: betyr at ujustert serie er korrigert for at ukedager har ulik arbeidsintensitet og for faste og bevegelige helligdager.

Sesongjustert indeks/serie: betyr at sesongeffekter (i tillegg til kalnderkorrigeringen) er fjernet fra opprinnelig indeks/serie. I beregningen av produksjonsindeksen anvendes X12ARIMA- metoden for å sesongjustere seriene med totalproduksjon (ujustert indeks/serie).

Imputering: Estimert verdi hvor observasjon mangler. I produksjonsindeksen beregnes verdien på grunnlag av data for samme virksomhet i tidligere perioder (cold-deck).

Standard klassifikasjonar

Undersøkelsen benytter Standard for næringsgruppering 2007 (SN2007) som standard klassifikasjon. Dette er en norsk tilpasning av NACE Rev. 2. SN2007 utgjør grunnlaget for klassifisering av enheter etter viktigste aktivitet i Virksomhets- og foretaksregisteret (VoF). Bruk av felles standarder er viktig innenfor økonomisk statistikk da det muliggjør sammenligning og analyse av statistiske data både nasjonalt/internasjonalt og over tid.

Undersøkelsen klassifiseres også etter Eurostats gruppering av varetyper (Main Industrial Groupings). Varetypene baseres på de 3-siffrede næringene (næringshovedgruppene) i SN2007. I statistikken inngår det i alt seks varetyper

Kode

Norsk beskrivelse

Engelsk beskrivelse

E1

Innsatsvarer

Intermediate goods

E2

Investeringsvarer

Capital goods

E3

Varige konsumvarer

Consumer durables

E4

Ikke-varige konsumvarer

Consumer non-durables

E5

Konsumvarer (E3+E4)

Consumer goods

E6

Energivarer

Energy goods

Følgende oppsummerende beskrivelse kan gis for viktige næringer som inngår i de ulike varetypene:

Varetype

Hovednæringer

Innsatsvarer

Utvinningstjenester, trelast- og trevareindustri, papir- og papirvareindustri, kjemisk råvareindustri, metallindustri

Investeringsvarer

Maskinvareindustri, bygging av skip og oljeplattformer, maskinreparasjon og -installasjon

Varige konsumvarer

Møbelindustri

Ikke-varige konsumvarer

Næringsmidler og drikkevarer, trykking og grafisk industri, farmasøytisk industri

Konsumvarer, i alt

Næringsmidler og drikkevarer, trykking og grafisk industri, farmasøytisk industri, møbelindustri

Energivarer

Bryting av kull, utvinning av olje og gass, raffinering og kraftforsyning

Formålet med denne klassifiseringen er å gi en nedbrytning av NACE i forhold til aktivitet som er mer detaljert enn næringshovedområde (for eksempel C: Industri), men ikke så detaljert som næring (for eksempel SN10: Næringsmiddelindustri.). Klassifiseringen av de enkelte enhetene baserer seg på hvilken sluttanvendelse de produserte produktene til enheten har. Man bør merke seg at de ulike varetypene ikke er sammenlignbare i forhold til størrelse, spesielt er varige konsumvarer mindre enn de øvrige. For en fullstendig oversikt over hvilke næringer som er inkludert i de ulike varetypene, se Kommisjonsforordning 656/2007, samt KLASS i følgende lenke: https://www.ssb.no/klass/klassifikasjoner/6/varianter/1121 

Administrative opplysingar

Regionalt nivå

Kun på nasjonalt nivå.

Kor ofte og aktualitet

Produksjonsindeksen for olje- og gassutvinning, industri, bergverksdrift og kraftforsyning er månedlig og offentliggjøres om lag 35 dager etter den aktuelle månedens utløp.

Internasjonal rapportering

Produksjonsindeksen rapporteres månedlig til EUROSTAT. Tall sendes til OECD via Eurostat og til FN i kvartalsvise henvendelser.

Lagring og bruk av grunnmaterialet

Rådata og editerte mikrodata er lagret i henhold til SSB sin standard for arkivering av filer (DataDok).

Bakgrunn

Føremål og historie

Produksjonsindeksens overordnede formål er å måle utviklingen i verdiskapningen innen olje- og gassutvinning, industri, bergverksdrift og kraftforsyning på månedsbasis. Verdiskapningen er uttrykt ved bearbeidingsverdi til faktorpriser eller bruttoproduksjon minus vareinnsats eksklusive avgifter og subsidier. I praksis er det svært krevende å observere verdiskapningen på månedsbasis, og av den grunn benyttes virksomhetenes produksjon i fysiske kvanta eller utførte timeverk som indikator. Statistikken forutsetter dermed at det er et stabilt forhold mellom produksjonen og vareinnsatsen (over et år). Undersøkelsen finansieres i sin helhet over statsoppdraget.

Fra og med januar 2009 brukes Standard for næringsgruppering 2007 (SN2007) som offisiell næringsstandard. Dette erstatter Standard for næringsgruppering 2002 (SN2002).

Brukarar og bruksområde

Statistikken benyttes internt i Statistisk sentralbyrå som en indikator for utviklingen i produksjonen (og bruttoproduktet) i olje- og gassutvinning, industri og bergverk og kraftforsyning ved utarbeiding av Kvartalsvis nasjonalregnskap (KNR). Foreløpige tall for 2016 viser at bruttoproduktet utgjorde 22 prosent av BNP i løpende priser, for de næringene som ble beregnet ved hjelp av produksjonsindeksen. Produksjonsindeksen utgjør også en viktig del av datagrunnlaget for prognose- og analysearbeidet knyttet til norsk konjunkturutvikling som utføres av organisasjoner, offentlige myndigheter og forskningsinstitusjoner.

Likebehandling av brukere

Ingen eksterne brukere har tilgang til statistikk før den er publisert samtidig for alle kl. 08.00 på ssb.no etter forhåndsvarsling senest tre måneder før i Statistikkalenderen. Dette er et av de viktigste prinsippene i SSB for å sikre likebehandling av brukerne.

Samanheng med annan statistikk

Data fra undersøkelsen benyttes ved utarbeiding av Kvartalsvis nasjonalregnskap. Produksjonsindeksen brukes her som indikator for å fremskrive tall for produksjon (og bruttoprodukt) i olje- og gassutvinning, bergverksdrift, industri og kraftforsyning fra det årlige nasjonalregnskapstall.

I editering av produksjonsindeksen settes tallene i sammenheng med annen statistikk. Dette gjelder statistikk som:

Lovheimel

Statistikkloven av 21. juni 2019 nr. 32, §10 og §20

EØS-referanse

Rådsforordningen (EU) nr. 1165/98 av 19. mai 1998 om korttidsstatistikk. Kommisjonsforordningen 586/2001. Kommisjons- og rådsforordning 1158/2005. Kommisjons- og rådsforordning 1983/2005. Kommisjonsforordning 1503/2006. Kommisjonsforordning 656/2007. Kommisjonsforordning 472/2008.

Produksjon

Omfang

Populasjonen omfatter alle aktive virksomhetsenheter i Virksomhets- og foretaksregisteret (VoF) innen bergverksdrift (SN05, SN07-08, 09.9), olje- og gassutvinning (SN06, 09.1), industri (SN10-33) og kraftforsyning (SN35), se Standard for næringsgruppering 2007 (SN2007) . Observasjonsenheten, analyseenheten og innsamlingsenheten i undersøkelsen er i hovedsak virksomhet, men kan i noen tilfeller også være bransjeenhet (Se Definisjoner for en fullverdig definisjon av virksomhet).

Datakjelder og utval

Undersøkelsen anvender elektroniske skjemadata fra utvalgsenhetene samt virksomhetsopplysninger fra VoF. VoF er SSB sitt sentrale register over alle juridiske enheter og virksomheter i privat og offentlig sektor i Norge. Månedlige produksjonsopplysninger for norsk olje- og gassutvinning mottas elektronisk fra Oljedirektoratet. Produksjonsopplysninger for norsk kraftforsyning mottas fra Norges vassdrag- og energidirektorat (NVE), og seksjon for energi- og miljøstatistikk i SSB.

Bruttoutvalget omfattet i 2016 ca. 1.800 virksomheter. I tillegg dekkes hele populasjonen innen kraftforsyning. Opplysninger fra Oljedirektoratet dekker hele den norske olje- og gassproduksjonen. Dette utgjør rundt 85 enheter eller olje- og gassfelt (2017). Utvalgsenhetene for industri og bergverksdrift dekket i 2016 om lag 80 prosent av populasjonens omsetning. Utvalget omfatter alle virksomheter med mer enn 100 sysselsatte, eller som har omsetning større enn 10 prosent av publiseringsnivået. Basert på stratifisering og optimal allokering trekkes øvrige virksomheter med en trekksannsynlighet proporsjonal med størrelsen på virksomheten målt i antall sysselsatte. Utvalget omfatter ikke virksomheter med mindre enn 10 sysselsatte.

Stratum (Ansatte)

Utvalg

Fordeling

Trekking

1 - (≥ 100)

200

Full dekning. Omkring 200 virksomheter.

Cut-off

2 - (50-99)

725

50 prosent av de resterende 1450 virksomhetene.

PPS

3 - (20-49)

475

33 prosent av de resterende 1450 virksomhetene.

PPS

4 - (10-19)

250

17 prosent av de resterende 1450 virksomhetene.

PPS

5 - (< 10)

0

Ingen dekning.

Cut-off

 

sum; 1650

sum; 1650

 

Datainnsamling, editering og beregninger

Innrapportering skjer via internett ved bruk av Altinn. Følgebrev sendes ut i slutten av den aktuelle måneden. Svarfrist er midt i den påfølgende måneden. Oppgavegivere som står oppført som kontaktpersoner for enhetene i utvalget, blir informert om at skjemaet for ny periode ligger tilgjengelig i meldingsboksen i Altinn via sms eller e-post. Oppgaven skal fylles ut av den enkelte virksomhet. Enheter som unnlater å svare innen fristen mottar "Vedtak om tvangsmulkt" cirka en uke etter at fristen er utgått. Ny frist for innlevering av oppgaven settes da til cirka en uke etter utsendelsesdatoen for vedtaket. For å unngå påløpt vedtak, må oppgaven leveres innen 3 uker etter frist i "Vedtak om tvangsmulkt".

Oppgave over produksjon og omsetning RA-0334 (Timeverk) er tilgjengelig her .

Oppgave over produksjon og omsetning RA-0335 (Mengde) er tilgjengelig her .

Registrering og verifisering av rapporterte data utføres ved automatisk innlasting av filer med skjemadata fra Altinn. Oppgavene kontrolleres maskinelt for dubletter og summeringsfeil. Tallmaterialet editeres på grunnlag av editeringsprogrammer, for eksempel identifisering av 1000-feil eller store avvik fra tidligere rapporterte tall. Ved store avvik kontaktes oppgavegiver. Makrokontroll (på aggregert nivå) utføres ved hjelp av figurer og tabeller. Hvis det avdekkes serier med ekstreme forløp, gjennomføres fornyet gransking av mikrodata (på virksomhets- og produktnivå). I ettertid foretas også sammenligninger med den årlige industristatistikken.

Korttidsindekser

Månedlige beregnede produksjonsverdier for virksomhetenes hovedprodukter og timeverk i år t sammenholdes med beregnede produksjonsverdier for tilsvarende virksomheter, produkter og timeverk i år t-1. Dette gir grunnlag for beregningen av korttidsindeks for næringen. En ujustert korttidsindeks på 105 viser da en økning på 5 prosent i forhold til et gjennomsnitt av fjorårets beregnede produksjonsverdier for identiske virksomheter og produkter.

Formel for korttidsindeks:

(1)

pii

der

Qm = korttidsindeks for produksjonsverdi i faste priser i måned m

p0 = pris i det foregående året

qm = mengde i aktuell måned

q0 = gjennomsnittlig månedlig mengde i det foregående året

Priser som brukes i beregningen av korttidsindekser er hentet fra statistikker som volum- og prisindekser fra utenrikshandel med varer og fra produsentprisindeksen for olje- og gassutvinning, industri, bergverksdrift og kraftforsyning i Norge. Prisene oppdateres årlig og er basert på framskrivninger av disse volum- og prisindeksene. Enkelte priser som ikke er tilgjengelige i de overnevnte statistikkene samles inn direkte fra aktuelle virksomheter i Norge.

Disse produksjonsverdiene i faste priser kan summeres og tall for varer, virksomheter, sektorer, aggregater og totaler kan beregnes. Korttidsindekser beregnes på sektor eller bearbeidingsnivå for i alt 111 enkeltsektorer.

Indikatorer

I produksjonsindeksen brukes det to tilnærminger eller kjennemerker (basisinformasjon) for å måle produksjonen: I næring 05-08, 10-12, 16-17, 19-24, 27.3, 27.5, 31, 32 (untatt 32.5) og 35 benyttes produksjon av de viktigste produktene til virksomhetene. I næring 09.1, 13-15, 18, 25, 26, 27 (untatt 27.3 og 27.5), 28-30, 32.5 og 33 benyttes timeverk for produksjonsarbeidere og funksjonærer. Dette gjelder for tjenester tilknyttet utvinning av råolje og naturgass (09.1), tekstil, beklednings- og lærvareindustri (13-15), grafisk industri (18) og i verkstednæringene (25-33). (For nærmere forklaring av næringskoder se Definisjoner). Ved bruk av timeverk som indikator skal virksomheten rapportere alle utførte timeverk for produksjonsarbeidere og funksjonærer, samt utførte timeverk av innleide arbeidere. Rapporteringen skal omfatte all overtid. For mer om dette se notatet Produksjonsindeksen for industrien.

Nye prosjekter i næringer med timeverk som indikator fanges opp løpende, så fremt prosjektet gjennomføres av virksomheter som er dekket av utvalget. Det er det totale antall timer som er utført i tellingsmåneden som rapporteres, uavhengig av hvilket prosjekt timene er knyttet til.

Fra og med 2010 er produksjonen i tjenester tilknyttet olje- og gassutvinning (09.1) målt med timeverk. Fra og med 2011 måles produksjonen i tekstil, beklednings- og lærvareindustrien (13-15) med timeverk. Fra og med 2011 er timeverk utført av innleide arbeidere også samlet inn. Fra og med 2012 brukes også timeverk utført av innleide arbeidere i beregningen av produksjonsindeksen for industrien.

Fra og med 2014 er det blitt samlet inn opplysninger om timeverk utført av funksjonærer. Fra 2015 er disse med i innrapporteringen og inngår i beregningene.

Produktivitet

Det er lagt til grunn at arbeidsproduktiviteten per timeverk øker fra år til år i industrien. Dette er grunnlaget for bruken av faktorer for produktivitetskorrigeringen i produksjonsindeksen. Faktoren multipliseres med korttidsindeksen på sektornivå. Disse faktorene avhenger av arbeidsintensiteten i timeverkssektorene.

Produktivitetsfaktorer for produksjonsindeksen for industrien er beregnet på bakgrunn av tall fra Årlig nasjonalregnskap . Faktorene er oppdaterte nå i 2017. De bygger på årlig volumendring i bruttoprodukt per utført timeverk for de aktuelle næringene, og er et gjennomsnitt for de 5 siste årene.

Forutsetningene om produktivitetsvekst brukes i næringene der indikatoren bygger på timeverksrapportering (tjenester tilknyttet utvinning av råolje- og naturgass (09.1), tekstil-, beklednings- og lærvareindustri (13-15), grafisk industri (18) og i verkstednæringene (25-33)).

I næringer hvor produksjonsindeksens bruker kvantumsopplysninger av hovedprodukter legger man til grunn at produktivitetsutviklingen fanges opp direkte gjennom endringene i produserte mengder over tid. Det korrigeres ikke for kvalitetsendringer på produktnivå.

Sammenveiing

For at de aggregerte indeksene skal kunne ta inn over seg endringer av det relative forholdet mellom sektorene, beregnes det aggregerte indekser ved at korttidsindeksene på sektornivå veies sammen. Som vekter i denne sammenveiingen benyttes bearbeidingsverdi til faktorpriser fra årlige strukturstatistikker for olje- og gassutvinning, industri og bergverkdrift og kraftforsyning.  Bearbeidingsverdiene framskrives så med tall fra kvartalsvis nasjonalregnskap (KNR). Dette gjøres for å bruke så oppdaterte vekter som mulig. Vektene oppdateres årlig. Formel 2 viser en sammenveiingen av korttidsindeksene.

(2)

pii2

der

Um,k = korttidsindeks, aggregert over de underliggende sektorer, måned m

BAs,0 = bearbeidingsverdi til faktorpriser i sektor s, vektår (t-1)

Us,m,k = korttidsindeks, i sektor s, måned m

Formelen som brukes for sammenveiingen er av en Laspeyres-type.

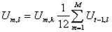
Kjeding

Korttidsindeksen kjedes på den gjennomsnittlige langtidsindeksen fra det foregående året. Dette må gjøres for å kunne sammenligne indeksene over tid.

(3)

pii3

der

Um,k = korttidsindeks, indeks, måned m

Um,l = langtidsindeks, indeks, måned m

Ut-1,l = langtidsindeks, indekser, det foregående året

Per i dag publiseres indekser med basisår 2005. Beregningene bygger som et hovedprinsipp på et utvalg av identiske enheter som ligger fast over toårsperioder. Det beregnes indekser på næringsgruppenivå (SN2007). Det lages tall for 111 serier innen næring 05-35. Det beregnes videre aggregerte indekser på næringsgruppenivå. Følgende aggregater beregnes: Totalindeks for næring 05-35, indekser på 1-bokstav næring, 2-bokstavnæring, 2-sifretnæring, 3-sifret og et sett med spesialaggregater.

Sesongjustering

Produksjonen i en næring vil variere fra måned til måned ut fra forhold som månedens lengde, ulik arbeidsintensitet, antall arbeidsdager og bevegelige helligdager som påske og pinse. Det publiseres derfor kalenderjusterte indekser som både tar hensyn til at ukedagene har ulik arbeidsintensitet og bevegelige helligdager. Fra og med 2007 vil slike kalenderjusterte serier ikke justeres for ulik månedslengde. Dette er i tråd med internasjonale retningslinjer. Siden effekten av månedens lengde er den samme hvert år bør den tas ut av kalenderjusteringen, men inkluderes i sesongjusteringen.

Dersom en sammenligner kalenderjusterte tall er det mest hensiktsmessig å se på endringer de siste 12 måneder og ikke endringer fra måned til måned.

Det kan være andre sesongvariasjoner i tillegg som gjør det vanskelig å tolke utviklingen direkte fra periode til periode. For å lette denne tolkningen, sesongjusteres mange serier ved bruk av X12-ARIMA. I produksjonsindeksen brukes en multiplikativ modell.

Det foretas makrokontroller på aggregert nivå basert på jevnføring med blant annet omsetningsstatistikk, produsentprisstatistikk, ordre- og lagerstatistikk og konjunkturbarometeret. En del av makrokontrollen er en vurdering av sesongjusterte tall for alle publiserte serier.

For mer detaljer om sesongjustering av Produksjonsindeksen, se fanen "Om sesongjustering".

Konfidensialitet

SSB-fortrolige mikrodata: Innsamlede opplysninger er underlagt taushetsplikt (Statistikkloven §2-4) og blir oppbevart og eventuelt slettet på en forsvarlig måte. Bruk av data skjer i samsvar med de krav som stilles av Datatilsynet.

Serier som ikke publiseres: Offentliggjøring skjer i samsvar med §2.6 i Statistikkloven, samt SSB sine egne regler for konfidensialitet. Hovedregelen er at man ikke offentliggjør data dersom disse på noen måte kan spores tilbake til oppgavegiver. Det vil si tall der færre enn tre enheter ligger til grunn for en celle i tabellen, tall der oppgavegiver står for 90 prosent av verdien eller tall der to selskap står for 95 prosent av verdien. Som hovedregel er alle serier som ikke publiseres å anse som fortrolige data.

Bearbeidede data som ikke er offentliggjort: Tallmateriale som ikke er offentliggjort har status som SSB-fortrolige data. Dette innebærer at det ikke gjøres tilgjengelige uten særskilt godkjenning.

Samanlikningar over tid og stad

Serier etter SN 2007

Serier blir publisert i Statistikkbanken tilbake til 1990 for totaler og tilbake til 1995 for detaljerte næringer. Ved endringer i næringsstandard eller større revisjoner av undersøkelsen har det så langt som mulig blitt lagt vekt på å sikre sammenligning i tid. Se Næringsstandard og næringskoder.

SN 2007 erstatter SN 2002 som offisiell næringsstandard fra og med januar 2009 (se Bakgrunn). Det er viktig å ta utgangspunkt i resultater basert på en og samme versjon av SN dersom man ønsker å se på utviklingen i statistikken over tid. I klartekst betyr dette tidsserier basert på SN 2002 eller tidsserier basert på SN 2007. Historiske serier basert på SN 2002 vil fortsatt ligge tilgjengelig under Avsluttede serier i Statistikkbanken for perioden 1986 til 2008.

Nøyaktigheit og pålitelegheit

Feilkjelder og uvisse

Med målefeil menes feil i data som skyldes tilgjengelig elektroniskt spørreskjema samt oppgavegivers interne systemer for å fremskaffe data. Eksempler er uklar spørsmålsformulering, misforståelser hos oppgavegiver eller feil i data hos oppgavegiver. Misforståelser knyttet til definisjonen av produksjonen kan gi opphav til målefeil i produksjonsindeksen. For å unngå dette er det lagt stor vekt på klarhet i skjema og veiledningen. Bruk av feilaktig skala kan også forekomme. Denne type feil vil normalt sett bli identifisert under editeringen.

Det ble utviklet nye skjema til produksjonsindeksen i forkant av 2011 i forbindelse med en omlegging av statistikksystemene (se Produksjon). Dette har ventelig bidratt til mindre målefeil enn tidligere.

Med bearbeidingsfeil menes feil i data som påføres gjennom databehandlingen i SSB. Data som registreres av brukeren på Internett er opprinnelig på elektronisk form og kan ikke feiltolkes ved innlasting til SSB sine databaser.

Med frafallsfeil menes feil som enten skyldes enhetsfrafall, det vil si at enheten (f.eks. en virksomhet eller et foretak) har unnlatt å svare, eller partielt frafall, det vil si at enheten har unnlatt å svare på minst ett av spørsmålene i undersøkelsen. Enhetsfrafall for undersøkelsen ligger normalt sett på om lag 5 prosent ved publisering. Kritiske enheter, det vil si virksomheter med vesentlig innflytelse på resultatene på detaljert aggregeringsnivå (enkeltnæringer), kontaktes per telefon i forkant av publisering. Det er ikke foretatt beregninger på effekten av enhetsfrafall i undersøkelsen. Imputering av manglende produksjonstall skjer maskinelt ved å benytte enhetens tidligere rapporterte tall i tillegg til informasjon om utviklingen innenfor det aggregerte nivå (sektor), hvoretter effekten av denne imputeringen kontrolleres på samme aggregerte nivå. Partielt frafall (ubesvarte felter i oppgaven) imputeres, og behandles ikke som null. Dette er vanligvis riktig, men trenger ikke nødvendigvis å stemme. Det er derfor spesielt viktig å kvalitetssikre oppgaver fra virksomheter med stor innvirkning på næringens totale produksjonsnivå.

Med utvalgsfeil menes usikkerhet som forårsakes av at tallene er produsert på grunnlag av et utvalg enheter og ikke hele populasjonen. Virksomhetsutvalget til produksjonsindeksen omfatter om lag 80 prosent av den totale omsetningen i industri og bergverksdrift (2016). For å sikre høy grad av relevans til lavest mulig kostnad, legges det stor vekt på å dekke større enheter i populasjonen hvor disse er dominerende. Nedleggelse av utvalgsenheter kan gi opphav til skjevhet i tilfeller hvor frekvensen av nedleggelser i utvalget avviker fra populasjonen. En søker også å kontrollere for tilgangen eller nyetableringen av større enkeltvirksomheter i populasjonen. Periodisk ajourhold av utvalget sikrer at strukturen i utvalget samsvarer med populasjonen.

Med dekningsfeil menes feil i registre som brukes som populasjonsbærer, i dette tilfellet VoF. Disse feilene kan være overdekning, underdekning, forsinket oppdatering og feilklassifisering. Erfaringsvis er en liten andel av enhetene i populasjonen feilplassert med henblikk på næringskode og/eller andre kjennemerker knyttet til identifiseringen av enheten. Normalt skyldes dette mangelfull eller misvisende informasjon om enhetene på et bestemt tidspunkt. Det er ikke gjort beregninger for å tallfeste omfang og betydning av slike feiltyper. Feilen anses imidlertid ikke å være større enn for annen kvantitativ korttidsstatistikk.

Med modellfeil menes først og fremst feil som er knyttet til sesongjustering av tidsserier. Slike feil skyldes avvik fra de modellbetingelsene som ligger til grunn for metoden som benyttes til å sesongjustere. Typiske vanskeligheter er bevegelige helligdager knyttet til jul, påske og pinse. Disse problemene er vurdert som større for månedsstatistikk enn for kvartalsstatistikk. Kvaliteten til de sesongjusterte seriene vurderes på bakgrunn av kvalitetsindikatorer generert av X12-ARIMA, samt inspeksjon av figurer som fremstiller sesongjusterte og ujusterte tall.

Revisjon

Ikkje relevant