Oppdatert
Neste oppdatering
Foreløpig ikke fastsatt
Nøkkeltall
0,61 %
av spillvannsnettet er i gjennomsnitt fornyet hvert av de siste tre årene
| 2012 | 2015 | 2016 | Endring i prosent | ||
|---|---|---|---|---|---|
| 2012 - 2016 | 2015 - 2016 | ||||
| Prosent av befolkningen som er tilknyttet kommunal avløpstjeneste | 83,9 | 84,2 | 84,4 | 0,6 | 0,2 |
| Tilknytningstetthet på spillvannsnettet (avløp) (innb/km) | 118 | 119 | 119 | 0,8 | 0,0 |
| Prosent fornyet spillvannsnett, gjennomsnitt, siste tre år | 0,48 | 0,57 | 0,61 | 27,1 | 7,0 |
| Antall kloakkstopper i avløpsledninger og kummer per kilometer spillvannsnett | 0,054 | 0,048 | 0,053 | -1,9 | 10,4 |
| Gebyrinntekter per innbygger tilknyttet kommunal avløpstjeneste (kr/tilkn.innb) | 1 429 | 1 636 | 1 661 | 16,2 | 1,5 |
| Driftsutgifter per innb. tilknyttet kommunal avløpstjeneste (kr/tilkn.innb) | 988 | 1 130 | 1 162 | 17,6 | 2,8 |
Se flere tabeller om emnet
Tabell 1
Innbyggere tilknyttet kommunale og ikke-kommunale avløpsanlegg. Antall personer.
| 2013 | 2014 | 2015 | |
|---|---|---|---|
| Alle tilknyttede innbyggere | 5 029 061 | 5 080 000 | 5 123 825 |
| Kommunal | 4 303 754 | 4 355 485 | 4 392 616 |
| Privat | 725 307 | 724 515 | 731 209 |
| Innbyggere tilknyttet avløpsanlegg større eller lik 50 pe | 4 256 759 | 4 313 691 | 4 352 605 |
| Kommunal | 4 230 019 | 4 286 429 | 4 328 686 |
| Privat | 26 740 | 27 262 | 23 919 |
| Innbyggere tilknyttet avløpsanlegg mindre enn 50 pe | 772 302 | 766 309 | 771 220 |
| Kommunal | 73 735 | 69 056 | 63 930 |
| Privat | 698 567 | 697 253 | 707 290 |
Om statistikken
Kommunalt avløp er en statistikk som beskriver ulike sider ved kommunal avløpssektor, som gebyrer, selvkostregnskap, avløpsnett, avløpsanlegg og tilknytning, oppfyllelse av rensekrav og slamdisponering. Statistikken er en del av den ordinære KOSTRA-publiseringen.
Definisjoner
-
Avlaupsanlegg utan reinsing er utslepp frå avlaupsanlegg utan reinsing (ofte omtala som direkte utslepp). Dei består av kommunalt leidningsnett kor avlaupsvatnet går ureinsa til resipienten.
Driftsutgifter er summen av direkte driftsutgifter og henførbare indirekte utgifter. Beløpa hentast frå KOSTRA-skjema 23.
Finansiell dekningsgrad syner i prosent kor stor del av årlege kostnadane kommunane får dekka gjennom gebyrinntektene. Kommunane har ikkje høve til å krevje inn meir enn kostnadane, og dei er ikkje pliktige til å krevje full kostnadsdekning. Nøkkeltalet er ein indikator på korleis gebyrinntektene vil utvikle seg i forhold til gebyrgrunnlaget dei neste åra. Nøkkeltalet må ses i samanheng med kommunens sjølvkostgrad.
Sjølvkostgrad syner forholdet mellom kommunens gebyrinntekter i året og kommunens gebyrgrunnlag for året tillagt avsetning til sjølvkostfond dekning av framførte underskot eller fråtrekt bruk av sjølvkostfond framføring av underskot.
Sjølvkostgrad = (Gebyrinntekter) / (Gebyrgrunnlag + avsetninger/dekning - bruk/fremføring) X 100
Gebyrinntekter blir innkravde i form av eit tilknytingsgebyr og eit årleg gebyr. Tilknytingsgebyret er eit eingongsbeløp. Inntektsbeløpa hentast frå KOSTRA-skjema 23.
Kapasitet og belastning. Kapasiteten til eit avlaupsanlegg er den mengd avlaupsvatn anlegget er dimensjonert til å behandle, mens belastninga er den mengd avlaupsvatn eit reinseanlegg faktisk behandlar. Tala gis opp i form av personekvivalentar (pe).
Høggradige avlaupsreinseanlegg omfattar anlegg med biologiske og/eller kjemiske reinsetrinn. Ved biologisk reinsing fjernar ein hovudsakleg lett nedbrotbart organisk stoff ved hjelp av mikroorganismar. Ved kjemisk reinsing tilfører ein kjemikaliar i reinseprosessen for i første rekkje å fjerne fosfor. Reinseanlegg med særskilde reinsetrinn kan vidare fjerne nitrogen ved hjelp av mikroorganismar. Høggradig avlaupsreinseanlegg reduserar mengda forureinande stoff meir effektivt enn mekaniske anlegg og andre sortar anlegg.
Investeringar er bruttoinvesteringar, med frådrag av eventuelt investeringsinntekter og sal av anleggsmidlar. Fylkes- og statstilskott er ikkje trekt i frå, og heller ikkje tidligare overskott i avlaupssektoren. Beløpa hentes frå investeringsrekneskapets funksjonskonti 350 og 353. Desse artane blir summera: 010:500, 690,790. Art 700 og 810 (overføringar frå staten) og art 730 og 830 (overføringar frå fylkeskommunen) er haldt utanfor, for at berekningane skal være mest mogleg i samsvar med tidlegare årlege berekningar.
Kapitalkostnadene består av to delar: avskriving på tidlegare årlege investeringar og ein kalkulatorisk rentekostnad for kapital bunden opp i anleggsmidlar. Både kalkulatoriske rentekostnadar og avskrivingar kjem frå KOSTRA-skjema 23.
Kommunale avlaupsanlegg omfattar alle kommunale anlegg med utsleppsløyve for 50 pe eller meir. Anlegga delast inn i 6 hovudtypar etter kva for hovudreinseprinsipp de nytter: ureinsa, mekanisk, kjemisk, biologisk, kjemisk-biologisk og naturbasert/anna.
Mekaniske avlaupsreinseanlegg omfattar enkle anlegg som slamavskiljarar, rister, siler, sandfang og sedimenteringsanlegg. Desse anlegga fjernar berre dei største partiklane frå avlaupsvatnet, og reinseeffekten på fosfor og nitrogen er av den grunn forholdsvis lav.
Nordsjøavtala/OSPAR konvensjonane hendspeglar til dei felles deklarasjonane frå landa rundt Nordsjøen om å redusere forureininga av Nordsjøen. Eitt av måla var å halvere dei totale tilførslane av næringsstoffa nitrogen og fosfor i perioden 1985-1995. Sidan desse måla ikkje var nådd innan utgongen av 1995, blei tidshorisonten utvida til år 2005. Nordsjøavtalene omfattar områdane sør for 62 o N breiddegrad. Når det gjeld måla for reduksjon av næringssaltar, så er desse i Noreg knytt til fylka frå Svenskegrensa til Lindesnes.
Nordsjøfylka utgjer fylgjande fylker: Østfold (01), Akershus (02), Oslo (03), Hedmark (04), Oppland (05), Buskerud (06), Vestfold (07), Telemark (08), Aust-Agder (09) og Vest-Agder (10). Omtrent alt areal i desse fylka drenerer til Skagerrak og Nordsjøen.
Personekvivalentar (pe). En personekvivalent er definert som den mengden oksygen som forbrukes i løpet av 5 døgn når organisk stoff brytes ned i vann. Når 1 pe er definert som 60 g BOF5, vil det si at 1 pe daglig tilfører avløpsnettet en mengde organisk stoff som mikroorganismer forbruker 60 gram oksygen i løpet av 5 døgn for å bryte ned.
Avløp fra industri, institusjoner o.l. regnes om til personekvivalenter. Et utslipp fra en industribedrift på 90 kg BOF5 per døgn vil da tilsvare 90 000 g * (1 pe / 60 g BOF5) = 1 500 pe.
Reinseanlegg vert tradisjonelt delt inn i tre grupper etter reinseprinsipp: Mekanisk, kjemisk og biologisk. I tillegg kjem kombinasjonar av desse grunntypane.
Små avlaupsanlegg omfattar alle kommunale avlaupsanlegg med utsleppsløyve for mindre enn 50 pe.
Tilknytingsgrad fortel kor stor del av kommunens/fylkets innbyggarar som er knytt til kommunalt leidningsnett. Denne parameteren vil variere etter bl.a. busettingsmønster og reinsekrav i det aktuelle området.
-
De 428 kommunene er grupperte i 16 grupper, etter folkemengde og økonomiske rammevilkår. Grupperingen er basert på rapporten: Gruppering av kommuner etter folkemengde og økonomiske rammebetingelser. Rapport 2011/8, Statistisk sentralbyrå.
Administrative opplysninger
-
Navn: Kommunalt avløp
Emne: Natur og miljø
-
Seksjon for naturressurs- og miljøstatistikk
-
Tall blir publisert på nasjonalt og regionalt nivå (fylke og kommune) og etter grupper av sammenlignbare kommuner.
-
Nøkkeltal for kommunene blir publisert i forbindelse med KOSTRA - publisering for ureviderte tall (15. mars) og reviderte og endelige tall (15. juni) hvert år.
-
Ikke relevant
-
Grunnlagsmaterialet lagres som tekstfiler. Revidert datasett blir lagret som Oracle-basar hos SSB. Reviderte data blir også lagret hos Miljødirektoratet.
Bakgrunn
-
KOSTRA startet som prosjekt i 1995 med formål å skaffe mer relevant og aktuelt datagrunnlag for å måle ressursinnsats, prioritering og måloppnåelse i kommuner og fylkeskommuner. Det er et formål å samordne og effektivisere all rapportering fra kommunene til staten samt å sørge for relevant styringsinformasjon om kommunal virksomhet. Tallene på kommuner og fylkeskommuner ble gradvis økt fram til rapporteringsåret 2001, som var det første året der alle var med i KOSTRA.
-
KOSTRA gir styringsinformasjon om kommuner og fylkeskommuner, til bruk for befolkning og media, kommunene selv og for statlige styringsorgan og andre sentrale brukere.
-
Ikke relevant
-
Statistikken har sammenheng med annen statistikk bl.a. kommunal vannforsyning.
-
Opplysningene blir samlet inn av Statistisk sentralbyrå på vegne av Miljødirektoratet i medhold av Lov om vern mot forureiningar og om avfall av 13. mars 1981 nr. 6. Statistisk sentralbyrå vil i medhold av lov av 16. juni 1989 nr 54 om offisiell statistikk og Statistisk sentralbyrå § 2-2 samtidig benytte opplysningene til utarbeiding av offisiell statistikk.
-
Ikke relevant
Produksjon
-
Data blir i KOSTRA samlet inn fra alle kommunene i landet og undersøkelsene utgjør fulltellinger (og ikke utvalgsundersøkelser).
-
KOSTRA (KOmmune-STat-RApportering) utgjør hovedkilden til publisert statistikk.
F.o.m. 2015-dataene står imidlertid nå også Miljødirektoratet som kilde for deler av datagrunnlaget slik det framgår av tabellen nedenfor.
Skjema 2002-2006 2007-2014 2015 => Kommunale gebyrer KOSTRA Skjema 22 Selvkost KOSTRA Skjema 23 Små avløpsanlegg og kommunalt ledningsnett KOSTRA Skjema 21B KOSTRA Skjema 26A Avløpsanlegg kapittel 13 anlegg iht. forurensningsforskriften KOSTRA Skjema 21B KOSTRA Skjema 26B1 Avløpsrapportering til Miljødirektoratet (Altinn) Avløpsanlegg kapittel 14 anlegg iht. forurensningsforskriften KOSTRA Skjema 26B2 Ledningsnett kapittel 14 anlegg KOSTRA Skjema 26D Slambehandlingsanlegg KOSTRA Skjema 26C Slamrapportering til Miljødirektoratet (Altinn)
-
Data fra kommuner rapporteres elektronisk til SSB. Rapportering skjer en gang i året, og frist for rapporterting er 15. februar. Miljødirektoratet opererer med samme frekvens på rapportering og frister når det gjelder rapporteringen på slam og avløp (se punktet ovenfor).
Elektroniske skjema i både KOSTRA og hos Miljødirektoratet inneholder innebygde kvalitetssjekker og logiske tester. Etter data er rapportert utføres også automatiske og manuelle sjekker av Statistisk sentralbyrå.
Kommunene har frist 15. april for å sende opprettede data etter urevidert publisering 15. mars.
Data blir publisert på ulike nivå, som grunnlagsdata og nøkkeltall. Grunnlagsdata vil i stor grad være enkle summeringer og er normalt rapportert som absolutte tall. Nøkkeltall derimot utgjør ofte forholdstall hvor et grunnlagstall er dividert med et annet.
Beregninger av tall for landet, fylker og KOSTRA grupper (estimater)
Det er hvert år tilfeller av manglende innrapportering, og dette går fram i form av manglende tall for den enkelte kommune i statistikken. Når det gjelder tall som er rapportert inn på anleggsnivå - avløps- og slambehandlingsanlegg - så foretar SSB korrigeringer for å ta høyde for slike mangler i tallene som publiseres for landet, fylker og KOSTRA kommune grupper. Normalt innebærer det en direkte imputering av tall rapportert tidligere dvs. dersom det ikke er rapportert noe i årets rapportering så hentes det inn tallgrunnlag fra i fjor eller tidligere år som da utgjør grunnlag for det aktuelle anlegget i årets rapportering når man summerer opp til et lands-, fylkes- eller KOSTRA gruppe tall. Kommunen det gjelder vil fremdeles komme ut med blankt i statistikken det aktuelle året, siden de ikke rapporterte, men statistikken som publiseres for på lands-, fylkes- og KOSTRA gruppe nivå vil være gjenstand for en "statistisk korrigering" som ikke direkte er synlig i de publiserte KOSTRA tallene. Man kan derfor ikke uten videre summere opp et bestemt grunnlagstall for alle kommuner og forvente at summen tilsvarer landstallet som er publisert i statistikken. Hensikten med en slik korrigering er naturligvis å bøte på manglende rapportering og skape mest mulig robuste og sikre estimater på statistikk som SSB publiserer på aggregert nivå (landet, fylker og KOSTRA grupper).
Berekningar av belastning
Sidan relativt mange avlaupsanlegg ikkje føretek direkte målingar av belastning og utsleppsmengder, nyttar ein i stor utstrekning standardfaktorar i berekningane av total belastning for fosfor.
For kommunale avlaupsanlegg (50 pe eller meir) vert følgjande metode nytta:
1. Dersom anlegget har gitt opp utsleppsmengd i kilogram per år vert desse opplysningane nytta direkte.
2. Dersom anlegget ikkje har gitt opp utsleppsmengde, men har rapportert utlaupskonsentrasjonar og middel vassmengde gjennom anlegget i rapporteringsåret, vert utsleppsmengda utrekna i kilo per år ved fylgjande formel:
(konsentrasjon (mg/l) x middel vassmengde (m3/døgn) x 365) / 1000
3. Dersom målingar ikkje finns, vert belastninga utrekna ved å multiplisere personar knytte til avlaupsanlegget og standard faktor for gjennomsnittleg belastning per person (1.6 gram fosfor per person per dag):
personar knytte til avlaupsanlegget x 1.8 (g P /dag x person) x 365 / 1000
NB! Årgangene 2015 og tidligere benyttet 1.6 g P/dag x person som faktor i stedet for 1.8 som nevnt ovenfor, så her er det et "lite tidsbrudd".
Utrekningar av disponert avlaupsslam
Rapporteringa av 2005 og 2006 tall på disponerte slammengder er noko annleis i høve til dei øvrige åra. Skilnaden er at ein for desse to åra har rapportert mengd slamprodukt og tilhøyrande tørrstoffprosent, mens ein i alle øvrige år har direkte rapporterte mengd slamtørrstoff. For då å kunne rekne ut mengd slamtørrstoff i 2005 og 2006 trong ein difor prosentvis innhald tørrstoff i slammet (TS%). I dei tilfella tørrstoffprosenten ikkje var rapportert for dei disponerte slammengdene, er fylgjande metode nytta:1. Dersom det er rapportert tørrstoffprosentinnhald for produserte slamprodukt ved anlegget, men ikkje for disponerte mengder, er prosentsatsen for produserte slamprodukt nytta.
2. Dersom det korkje er rapportert tørrstoffprosentinnhald for produserte slamprodukt eller disponerte slammengder, er tørrstoffinnhaldet i slammet estimert til 25 prosent.
Berekningar av alder på leidningsnett
Berekningar av alder på leidningsnett på landsnivå i artikkelen - Dagens statistikk (DS) - er justert for leidningsnett av ukjent alder (ikkje spesifisert til tidsperiode). Leidningsnett er i desse tilfella fordelt utover ved prosentfordelinga 50, 20, 20 og 10 på hhv. periodane (1) før 1940, (2) 1940-59, (3) 1960-79 og (4) 1980 eller seinare. Vidare kan dei kommunane som ikkje har rapportert leidningsnett sist år kan ledningsinfo være imputera (erstatta med tidligare års data). Desse korrigeringane har altså berre innverknad på alderen presentera i artikkelen, medan andre tal på alder til leidningsnettet i Statistikkbanken og i Faktaark er berre basert på tal frå årets rapportering og på den delen av leidningsnettet som er av kjent opphav med omsyn til alder.Oppfyllelse av rensekrav
Det er i KOSTRA f.o.m. 2013-dataene laget egne nøkkel- og grunnlagstall i forhold til oppfyllelse av rensekrav på avløpsområdet. Beregningen er utført på grunnlag av avløpsrenseanleggenes reelle rensekrav. Videre er den begrenset til utslipp fra avløpsanlegg av størrelsesorden på 50 pe eller mer dvs. kapittel 13 og 14 iht. Forurensningsforskriften. Man snakker derfor om kapittel 13 og kapittel 14 avløpsanlegg, betegnelser som representerer kapittelet anlegget hører inn under i forskriften.
Avhengig av størrelsen på tettbebyggelsen så vil kravene som stilles variere. Det samme gjelder rapporteringen inn til myndighetene (Miljødirektoratet). Kapittel 14 anlegg kan forenklet sies å representere avløpsanlegg som tar i mot avløpsvann fra "store tettbebyggelser", og disse har en mer omfattende rapportering enn tilfellet er for kapittel 13 anlegg.
Kommunen er forurensningsmyndighet for kapittel 13 anleggene, mens fylkesmannen er forurensningsmyndighet for kapittel 14 anleggene.
Rensekravene til kapittel 13 anlegg er hentet direkte fra avløpsanleggenes årlige rapportering på Altinn inn til Miljødirektoratet (før 2015 foregikk imidlertid dette via et eget skjema 26B1 i KOSTRA), mens rensekrav for kapittel 14 anlegg har kilde i hovedsak fra Miljødirektoratets database Forurensing (Fylkesmannen legger inn rensekrav).
I KOSTRA har vi tre kategorier i forhold til vurdering av oppfyllelse:
- Oppfylt rensekrav : alle rensekrav er oppfylt eller utslippet utgjør et urenset utslipp (uten rensekrav)
- Ikke oppfylt rensekrav : et eller flere av rensekravene er ikke oppfylt. Merk her at unormale driftsforhold i forhold til oppfyllelse av primær- og sekundærrensekravet ikke er vurdert av SSB og at enkelte tilfeller av ikke oppfylte rensekrav av den grunn kan være oppfylt likevel (forenklet og streng tolkning i statistikken). Se mer under punktet om "Feilkilder og usikkerhet" lenger ned.
- Ukjent oppfyllelse : utilstrekkelig datagrunnlag i form av enten manglende krav og/eller manglende utslippsdata å vurdere kravet mot, og oppfyllelse kan derfor ikke vurderes.
Der tas enkelte forbehold i forhold til resultatet om at rensekrav i KOSTRA kan være feilaktig utfylt fra kommunens side – i hovedsak kapittel 13 anlegg. Denne situasjonen forventes imidlertid å bedre seg over tid, og SSB vil gi kommunene tilbakemeldinger i tiden framover på eventuelle «rarieteter» i datagrunnlaget. Der finnes også tilfeller av manglende innlagte krav for kapittel 14 anlegg i Forurensning-basen til Miljødirektorater, som ikke direkte kan lastes kommunene, men som fylkesmannen har ansvar for å legge inn. Men også dette forventes å bedre seg over tid. Sistnevnte vil medføre at «ukjent oppfyllelse» vil bli resultat for en del av kommunene som har slike anlegg.
SSB behandler de innrapporterte dataene på ulike måter, i hovedsak automatisk, og i forhold til oppfyllelse så har dataene vært gjenstand for følgende justeringer og forenklinger:
(1) Utslipp i kg/år er ikke oppgitt, men rapportert vannmengde og konsentrasjoner inn og ut av anlegget.
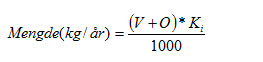
Noen anlegg har utslippskrav i form av maks årlig utslipp (kg/år). Når årlig utslipp ikke framgår av rapporteringen, vil SSB i slike tilfeller selv beregne utslippet hvis mulig ut i fra konsentrasjon inn og ut av anlegget, kombinert med vannmengde behandlet og sendt til overløp på anlegget. Dette "SSB-beregnete" utslippet sammenlignes så med rensekravet til anlegget. Formelen er som følger:
A. Mengde innløp, inkl. overløp:

B. Mengde utløp, inkl. overløp:

…hvor:
V = tilført vannmengde, eksl. overløp ved anlegget (m3/år)
O = vann til overløp (m3/år)
Ki = middelkonsentrasjon på innløpet til anlegg (mg/l)
Ku = middelkonsentrasjon på utløpet til anlegg (mg/l)
(2) Kravet til minimum antall prøver fastsatt i §14-11 i Forurensningsforskriften er ikke tatt hensyn til i beregningen i vurdering av oppfyllelse (gjelder kapittel 14 anlegg)
Oppfyllelse av primær- og sekundærrensekravet er "ukritisk" beregnet ut fra antall prøver som er oppgitt i rapporteringen uten noe mer vurdering mot §14-11 i forhold til minimum antall prøver man må ta. SSB tar for gitt at antall prøver rapportert er korrekt i forhold til minimum antall prøver man må ta i løpet av et år. Totalt antall prøver tatt i løpet av året og rapportert har derfor ingen innvirkning på vurderingen av oppfyllelse av rensekrav.
(3) Tabell i §14-13 i Forurensningsforskriften er tatt hensyn til i beregningen, men med utgangspunkt i det antall prøver som kommunen rapporterer (gjelder kapittel 14 anlegg).
I vurdering av primær- og sekundærrensekravet så vil man avhengig av antall prøver som er tatt i løpet av året få et visst antall prøver som ikke behøver å oppfylle rensekravene (konsentrasjons- og renseeffektkravet). Antall prøver som ikke behøver å oppfylle kravene vurderes ene og alene ut i fra antall prøver som kommunen har rapportert i skjema. Dersom kommunen rapporterer 6 analyseprøver, så får de «fritak» for at en prøve ikke behøver tilfredsstille primær- eller sekundærkravet, har det rapportert 12 prøver, så får de er fritak for to osv. Se for øvrig også punkt 2 ovenfor, samt §14-13 i forskriften.
(4) Maks konsentrasjonskravet i §14-13 i Forurensningsforskriften er inkludert i vurderingen av oppfyllelse av sekundærrensekravet (gjelder kapittel 14 anlegg).
Dersom anlegget har krav til sekundærrensing, så vil anlegget få «ikke oppfylt rensekrav» dersom høyeste målte analyseverdi (konsentrasjon) for KOF og BOF5 overskrider konsentrasjonsrensekravet med 100 prosent. Dette er i henhold dtil §14-13 i Forurensningsforskriften. Dette kravet gjelder uavhengig om sekundærrensekravet ellers er oppfylt.
(5) Årlig middel konsentrasjon inn og ut av anlegget kan være beregnet av SSB fra enkelt analyser for KOF, BOF5, SS og TOT-P (gjelder kapittel 14 anlegg).
Det rapporteres detaljert på enkeltanalyser i form av konsentrasjon for kapittel 14 anleggene for en parameterne KOF, BOF5, SS og TOT-P. Dersom kommunen ikke har rapportert årlig middelverdi for konsentrasjon ut og inn av anlegget kan en årlig gjennomsnittskonsentrasjon være beregnet av SSB basert på et rent aritmetisk gjennomsnitt av de enkelte analyseverdiene.
Denne beregnede konsentrasjonen kan igjen være benyttet til å beregne utslipp i form av kg/år (se punkt 1 ovenfor) og videre vurderes mot eventuelt krav til utslipp (kg/år) eller renseeffekt (%) for de anlegg som eventuelt har det.
(6) Beregning av prosent renseeffekt av de enkelte prøver av SS, BOF5 og KOF tar utgangspunkt i årlige behandlede vannmengder, og ikke enkeltprøvevolumer (gjelder kapittel 14 anlegg).
SSB har ikke tilgang til vannmengder på prøvetakingsnivå (volum per prøve), kun årlige vannmengder behandlet på anlegget, eventuelt sendt til overløp på anlegget. Derfor er det disse årlige vannmengdene behandlet og eventuelt sendt til overløp som er benyttet når renseeffekt beregnes og deretter vurderes mot primær- eller sekundærrensekravet i §14-2 i forurensningsforskriften.
-
Ikke relevant
-
Ikke relevant
-
Nøkkeltall for landet og regioner (fylker og KOSRA grupper) er for årgangene fram til 2007 gjennomsnitt beregninger basert på rapporterte tall, mens 2008 og senere utgjør statistisk beregnede estimater som i større grad tar hensyn til manglende rapportering i datagrunnlaget.
Sammenligning over tid vil være redusert ved at flere anlegg som har eksistert en tid først har blitt lagt inn i databasen i ettertid ("forsinket rapportering"). Statistikken tilbakeberegnes ikke umiddelbart bare fordi ny og oppdatert informasjon blir tilgjengelig. Dette gjelder i første rekke mindre anlegg.
Rapportering av disponering av avløpsslam har vært gjennomført på dels ulike måter etter at KOSTRA overtok som rapporteringskanal. For 2004 ble disponering forsøkt rapportert på kommunenivå, men for 2005 rapporteringa ble det gått tilbake til rapportering per behandlingsanlegg.
Kategorien deponert ble tatt ut som egen disponeringskategori for slam KOSTRA-rapporteringen for 2003. Bakgrunnen var et generelt forbud mot deponering av våtorganisk avfall, inkludert avløpsslam, gjennom daværende Forskrift om deponering av avfall (Miljøverndepartementet 2002). Forbudet er nå videreført i den nye avfallsforskriften (Miljøverndepartementet 2004), men siden det fremdeles forekommer deponering av avløpsslam, ble kategorien tatt inn igjen i rapporteringen i 2004 for å fange opp disse mengdene i statistikken. Disse endringene i rapporteringen, i tillegg til at kvaliteten på data som er rapportert har vært av varierende kvalitet, har medført en viss usikkerhet i tallene.
Som nevnt under kapittelet "Datainnsamling, editering og beregninger" er der en liten justering i metode i forhold til beregninger av belastning for fosfor (TOT-P), da man i tilfeller hvor avløpsanlegget ikke har analysetaking av utslippet eller det ikke er rapportert, så bruker man en spesifikk og teoretisk utslippsfaktor på 1.8. gram TOT-P per person og dag. Denne ble faktoren lå imidlertid på 1.6 gram for årgangene 2015 og tidligere, så her ligger det inne et lite tidsbrudd for de aktuelle grunnlags- og nøkkeltallene.
Nøyaktighet og pålitelighet
-
Størst usikkerhet er knyttet til eventuelle mangler og feil i data som kommunene rapporterer. En del anlegg og kommuner har hatt mangelfull rapportering i flere år, noe som gjør det vanskelig å avdekke feil og mangler ved sammenligning mot tidligere rapporterte data. Det knytter seg blant annet usikkerhet til registrering av år for oppstart, utvidelse og eventuelt nedlegging for en del anlegg, noe som igjen kan påvirke kvaliteten på tallene i enkelte fylker. Dette medfører usikkerhet om et anlegg faktisk er i drift.
Manglende rapportering av anlegg eller enkelte variabler i skjemaet kan i noen tilfeller skape usikkerhet i statistikken. Det arbeides kontinuerlig med å få fjernet anlegg som er nedlagt fra statistikken, samt supplere manglende rapporterte anlegg som av ulike grunner ikke har blitt rapportert gjennom KOSTRA.
Eventuelle feil vil også kunne oppstå under revisjonsprosessen. Revisjonsprosessen er en nødvendig kvalitetsgjennomgang av innrapportera data, men det hindra ikke at feil ikke kan oppstå også i selve revisjonsprosessen. Det gjelder blant annet i de tilfeller der man bruker tall fra tidligere år ved manglende rapportering og eventuelle andre endringar i datamaterialet.
Det herskar ofte større usikkerhet omkring data for små reinseanlegg (anlegg < 50 pe) enn for store anlegg (anlegg 50 pe eller mer). Noen kommuner mangler full oversikt over små anlegg. Dette gjelder særlig tall på antall innbyggere fordelt på ulike rensetyper. For noen kommuner vil derfor tallene kunne være basere seg på en "kvalifisert gjetting" og enkle beregninger. Dette vil kunne medføre noe økt usikkerhet i de endelige tallene, men er samtidig nødvendig for å kunne generere landstall.
Det tas forbehold om at noen tilfeller av "ikke oppfylte rensekrav" i statistikken likevel kan være oppfylt. Det skyldes at bl.a. for vurdering av primær- og sekundærrensekravet så forutsettes det at prøver er tatt under "normale driftsforhold". SSB har imidlertid ikke tatt høyde for dette i sine beregninger, og slik sett kan enkelte ikke oppfylte rensekrav likevel være oppfylt. Slike tilfeller anses imidlertid å være fåtallige og dermed av lav innvirkning på statistikken. Eventuelle midlertidige dispensasjoner fra utvalgte rensekrav for kortere eller lengre periode kan også utgjøre forhold hvor SSB må ta visse forbehold om at ikke er tatt høyde for i statistikken. SSB forholder seg kun til de krav som framgår av rapporteringen (kapittel 13 anlegg) eller fra Miljødirektoratets database Forurensning (kapittel 14 anlegg), med mindre annet er bekjentgjort gjennom andre "kanaler" (direkte henvendelse fra kommunen, Miljødirektoratet e.l.).
-
I utgangspunktet står SSB for kvalitetssikring og revisjon av skjemadata som er rapportert direkte til KOSTRA, mens de data som kommer som eksterne kilder fra Miljødirektoratet skal i utgangspunktet revideres av Miljødirektoratet, eventuelt i samarbeid med Fylkesmannen.
Kontakt
-
Gisle Berge
62 88 53 16
-
Jørn Kristian Undelstvedt
jorn.kristian.undelstvedt@ssb.no
62 88 50 84
-
Marit Slåen Sæther
62 88 51 14



